
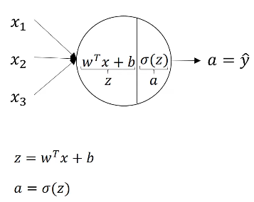
로지스틱 회귀를 나타내는 이 원은 두 단계의 계산을 나타냄
신경망에선 이를 많이 반복함

은닉노드
로지스틱 회귀와 비슷하게 이 노드는 두 단계의 계산을 함

a_i^[l]에서 대괄호 안에 있는 l은 층 번호
아래 첨자 i는 층 안의 노드 번호

@벡터화 조언
-한 층에 노드가 여러 개이면 세로로 쌓기

이 시그모이드 함수는 z^[1]의 각 원소들의 시그모이드 값을 계산하는 함수

마지막 출력 유닛을 매개 변수 w와 b를 가지는 로지스틱 회귀와 비슷하게 생각하면, w는 w^[2]T와 비슷하고 b는 b^[2]와 비슷함

은닉층이 하나인 신경망에서는 출력값을 계산하기 위해 위 네 등식을 구현하면 됨
이 신경망의 출력값을 계산하는 데에 이 네 줄만 필요

은닉층의 네 로지스틱 회귀 유닛의 출력값 계산

출력층의 로지스틱 회귀
참고)
'CS > AI | CV' 카테고리의 다른 글
| Remove background image from image using PIL in Python (0) | 2021.04.01 |
|---|---|
| Machine Learning Overview & An understanding of data (0) | 2021.02.17 |
| 신경망 네트워크 구성 | Neural Network Representations (0) | 2021.01.06 |
| 파이썬 넘파이 벡터 | A Note on Python/Numpy Vectors (0) | 2021.01.06 |
| 파이썬 브로드캐스팅 | Broadcasting in Python (0) | 2021.01.05 |