
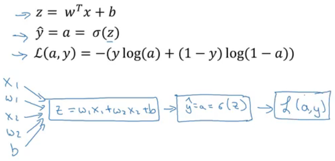
L(a, y) 에서의 a는 로지스틱 회귀의 출력값, y는 참 값 레이블

@로지스틱 회귀의 목적
-매개변수 w와 b를 변경해 이 손실을 줄이는 것
@수식

참고)
'CS > AI | CV' 카테고리의 다른 글
| 벡터화 | Vectorization (0) | 2021.01.03 |
|---|---|
| m개 샘플의 경사하강법 | Gradient Descent on m Examples (0) | 2021.01.01 |
| 계산 그래프 | Computation Graph (0) | 2020.12.31 |
| 경사하강법 | Gradient Descent (0) | 2020.12.31 |
| 로지스틱 회귀 비용함수 | Logistic Regression Cost Function (0) | 2020.12.31 |